Solid optical fiber with tunable bandgaps based on curable polymer infiltrated photonic crystal fiber
Bing Sun*, Wei Wei, Chao Wang, Changrui Liao, Jing Xu, Hongdan Wan, Lin Zhang, Zuxing Zhang, and Yiping Wang*, Journal of Lightwave Technology, 34(24), 5616-5619, 2016.
Antiresonant reflecting guidance mechanism in hollow-core fiber for gas pressure sensing
Maoxiang Hou, Feng Zhu, Ying Wang*, Yiping Wang*, Changrui Liao, Shen Liu, and Peixiang Lu, Optics Express, 24(24), 27890-27898, 2016.
Ultrasensitive magnetic field sensor based on an in-fiber Mach–Zehnder interferometer with a magnetic fluid component
Zhengyong Li, Changrui Liao, Jun Song, Ying Wang, Feng Zhu, Yiping Wang*, and Xiaopeng Dong, Photonics Research, 4(5), 197-201, 2016.
The effect of 4-Octyldecyloxybenzoic acid on liquid-crystalline polyurethane composites with triple-shape memory and self-healing properties
Jianfeng Ban, Linjiang Zhu, Shaojun Chen*, and Yiping Wang*, Materials, 9(9), 792, 2016.
Multi-components interferometer based on partially filled dual-core photonic crystal fiber for temperature and strain sensing
Maoxiang Hou, Ying Wang*, Shuhui Liu, Zhihua Li, and Peixiang Lu, IEEE Sensors Journal, 16(16), 6192-6196, 2016.
The impact of liquid crystal fillers on structure and properties of liquid-crystalline shape-memory polyurethane composites I: 4-dodecyloxy benzoic acid
Jianfeng Ban, Linjiang Zhu, Shaojun Chen*, and Yiping Wang*, Journal of Materials Science, 51(22), 10229-10244, 2016.
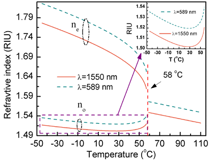
Unique temperature dependence of selectively liquid-crystal-filled photonic crystal fibers
Bing Sun, Zuxing Zhang, Wei Wei, Chao Wang, Changrui Liao, Lin Zhang, and Yiping Wang*, IEEE Photonics Technology Letters, 28(12), 1282-1285, 2016.
Automatic arc discharge technology for inscribing long period fiber gratings
Guolu Yin, Jian Tang, Changrui Liao, and Yiping Wang*, Applied Optics, 55(14), 3873-3878, 2016.
D-shaped fiber grating refractive index sensor induced by an ultrashort pulse laser
Changrui Liao†, Qiao Wang†, Lei Xu, Shen Liu, Jun He, Jing Zhao, Zhengyong Li, and Yiping Wang*, Applied Optics, 55(7), 1525-1529, 2016.
光纤布拉格光栅再生过程及模型研究
王巧妮, 杨远洪*, 何俊, 王义平, 光学学报, 36(3), 0306001-1-0306001-8, 2016.